אדום פיגמנט 176-קורימקס HF3C
רשימת פרמטרי מוצר
| מספר אינדקס צבעוני | פיגמנט אדום 176 |
| שם מוצר | קורימקס אדום HF3C |
| קטגוריית מוצר | פיגמנט אורגני |
| מספר CAS | 12225-06-8 |
| מספר האיחוד האירופי | 235-425-2 |
| משפחה כימית | בנזימידאזולון |
| משקל מולקולרי | 572.57 |
| נוסחה מולקולרית | C32H24N6O5 |
| ערך חומציות | 7 |
| צפיפות | 1.6 |
| ספיגת שמן (ml / 100 גרם)% | 40-60 |
| יציבות אור (ציפוי) | 6 |
| התנגדות חום (ציפוי) | 180 |
| יציבות אור (פלסטיק) | 6-7 |
| התנגדות חום (פלסטיק) | 250 |
| עמיד במים | 5 |
| עמידות בשמן | 5 |
| התנגדות חומצה | 5 |
| התנגדות אלקאלי | 4-5 |
צבע | ![]() |
| חלוקת הגוון |
תכונות:
פיגמנט אדום 176 הוא גוון כחלחל מבריק בעל פיגמנט בעל ביצועים גבוהים, עם יציבות מעולה, עמידות בחום גבוהה, שקוף ועמידות בפני נדידה.
TDS (פיגמנט אדום 176) MSDS(Pigment Red 176)יישום:
מומלץ לצבעים תעשייתיים, ציפוי אבקה, משחות הדפסה, PVC, גומי, PS, PP, PE, PU, צבעי דיו על בסיס מים, דיו ממס, צבעי דיו UV.
מוצע לצבעי רכב, ציפויים ארכיטקטוניים, ציפוי סליל, דיו לקיזוז.
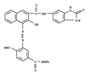
מבנה מולקולרי:

תכונות פיזיקליות וכימיות: כחול ואדום. יציבות האור היא ברמה 6. היציבות התרמית היא מעל 300 ℃. התנגדות ממיסית אורגנית מגיעה ל -4 עד חמש, ללא נדידה.
שימוש במוצר: משמש בעיקר לצביעת פלסטיק.
מפרט פיגמנט אדום 176 :
ה- 2-נפתלנקארבוקסמיד, N- (2,3-דיהידרו-2-אוקסו-1 H-בנזימידאזול-5-יל) -3-הידרוקסי-4- [2- [2-מתוקסי-5 - [(פנילמינו) קרבוניל] פניל ] דיאאנזיל] - היא תרכובת אורגנית עם הנוסחה C32H24N6O5. השם השיטתי של חומר כימי זה הוא 3-הידרוקסי-4- [2-מתוקסי-5- (פניל-קרבמואיל) פניל] אזו-נ- (2-אוקסו-1,3-דיהידרובנזימידאזול-5-איל) נפתלין-2-קרבוקסמיד. עם מספר הרישום של CAS 12225-06-8, הוא נקרא גם בשם N- (2,3-דיהידרו-2-אוקסו-1 H-בנזימידאזול-5-יל) -3-הידרוקסי -4 - [[2-methoxy- 5 - [(פנילמינו) קרבוניל] פניל] אזו] נפתלין-2-קרבוקסמיד. קטגוריית המוצר היא אורגני.
תכונות פיסיקליות על 2-נפתלן-קרבוקסמיד, N- (2,3-דיהידרו-2-אוקסו-1 H-בנזימידאזול-5-ייל) -3-הידרוקסי-4- [2- [2-מתוקסי -5 - [(פנילמינו) קרבוניל ] פניל] דיאאנזיל] - הם: (1) ACD / LogP: 6.96; (2) מספר של כלל 5 הפרות: 4; (3) ACD / LogD (pH 5.5): 6.95; (4) ACD / LogD (pH 7.4): 6.95; (5) מקבלי אג"ח #H: 11; (6) תורמי אג"ח # 5: 5; (7) # אג"ח חופשיות מסתובבות: 8; (8) שטח פנים קוטבי: 153.51 Å2; (9) מדד השבירה: 1.721; (10) שבירה מולקולרית: 157.67 ס"מ 3; (11) נפח טוחן: 398.6 ס"מ 3; (12) קיטוב: 62.5 × 10-24 ס"מ 3; (13) מתח פני השטח: 61 צבע / ס"מ; (14) צפיפות: 1.43 גרם / ס"מ 3; (15) נקודת הבזק: 357.3 מעלות צלזיוס; (16) אנטלפיה של אידוי: 101.63 kJ / mol; (17) נקודת רתיחה: 667.2 מעלות צלזיוס בטמפרטורה של 760 מ"מ כספית; (18) לחץ אדי: 2.05E-18 מ"מ כספית בטמפרטורה של 25 מעלות צלזיוס.










