פיגמנט צהוב 168-קורימקס צהוב WGP
רשימת פרמטרי מוצר
| מספר אינדקס צבעוני | פיגמנט צהוב 168 |
| שם מוצר | WGP בצבע קורימקס צהוב |
| קטגוריית מוצר | פיגמנט אורגני |
| יציבות אור (פלסטיק) | 7-8 |
| יציבות אור (פלסטיק) | 260 |
צבע | ![]() |
| חלוקת הגוון |
תכונות: התנגדות נדידה טובה.
יישום:
מומלץ לציפוי אבקה, PVC, גומי, PS, PP, PE.
ניתן ליישום על PU.
מידע קשור
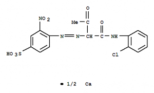
מבנה מולקולרי:

שם סיני: פיגמנט צהוב 168
שם אנגלי: קטע צהוב 168
כינוי סיני: CI פיגמנט כתום 71; ilgajing DPP כתום; פיגמנט כתום 73; bis - (p-tert-butylphenyl) - 1,4-diketopyrrole ופירול
- [(E) - 2 - [1 - [[(2-כלורופניל) אמינו] קרבוניל] - 2-אוקסופרופיל] דיאאנזיל] - 3-ניטרו -, מלח סידן (1: 1)
מספר CAS: 71832-85-4
נוסחה מולקולרית: c16h12cacln4o7s
משקל מולקולרי: 479.8845
שימושים עיקריים :
הפיגמנט הוא אגם מלח סידן בעל מבנה דומה ל- CI פיגמנט צהוב 61 וצהוב פיגמנט 62. יש לו צבע צהוב בהיר מעט, בין CI פיגמנט צהוב 1 לצבע פיגמנט 3. יש לו עמידות מעולה ועמידות נדידה בפני פחמימנים אליפטיים. ופחמימנים ארומטיים. הוא משמש בעיקר לצביעת צבע ופלסטיק. יש לו עמידות נדידה טובה ב- PVC מפלסטיק, עם חוזק צבע מעט נמוך יותר ועמידות קלה בדרגה 6. הגודל מתרחש בתופעת עיוות HDPE, מומלצת בעיקר לצביעת LDPE. זהו עוד פיגמנט DPP כתום לא שקוף שנמכר על ידי החברה המשובחת Ciba משוויץ בשנים האחרונות. זה מתאים לציפויים תעשייתיים בדרגה גבוהה, כמו צבע רכב (OEM), אמייל אפייה צבעוני על בסיס ממס, צבע אבקה וצבע סליל, אך עמידות הממס, התנגדות האור שלו ויציבות האקלים אינם טובים כמו אדום פיגמנט CI של אותו סוג.











